Miércoles 7 y jueves 8 de
octubre
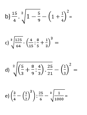
Hoy vamos a realizar una
combinación de suma, resta, división, multiplicación, raíz, potencia utilizando
también paréntesis
Realiza el cálculo combinado paso
a paso y usa otra hoja para hacer todos los cálculos auxiliares que hagan
falta, los mismos enviar con las actividades para ver el procedimiento
realizado
Act 2 Realiza los
siguientes cálculos combinados
Ejemplo


No hay comentarios.:
Publicar un comentario